Primjer izračunavanja količine nataljenog metala:

Uzorak broj 1

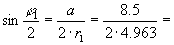
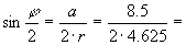
Poznate veličine:    a= 8.5 mm, b= 2.4 mm, c= 2.8 mm, l= 315 mm/min

4.625 mm

4.963 mm

0.7252

0.8845

0.919

2.331 rad

0.85634

2.0563 rad

A= 31.6 mm2

9954 mm3

0.078 kg/min

Analogno se dobiju i količine nataljenog metala za ostale uzorke.

Povratak!!

Povratak na početnu stranicu - povratak na sadržaj!