c. Usporedba sa stajališta produktivnosti
S obzirom da se produktivnost izražava kroz količinu istaljenog metala (kg/h) potrebno je izračunati istu.
U tu svrhu izršeno je probno zavarivanje koje je provedeno na limenoj ploči dimenzija 600x200x12 mm, kvalitete 15Mo3 predhodno očišćenoj od ostataka nečistoća i hrđe.
Zavarivanje je izvodio isti kvalificirani zavarivač, polaganjem jedne gusjenice s pet različitih žica od kojih je prva bila puna, a ostale četiri punjene žice. Izgled probne ploče s dužinama izvlačenja gusjenica je nasljedećoj slici.
Izgled probne ploče s dužinama izvlačenja
Zavarivanje je trajalo 1 minutu i izvedeno
je na uređaju LAH 500 tvrte ESAB s dodavačem A 10- MED 44. U tablici 1 su dane korištene žice u eksperimentu.
Parametri zavarivanja probnih uzoraka dani su u tablici 2.
Iz ploče su izrezani uzorci koji su metalografski pripremljeni (brušenje, nagrizanje s 3%- nim nitalom). Na tako pripremljenim uzorcima izmjerene su određene veličine (a,b,c) potrebne da se izračuna količina istaljenog metala. Idealiziran izgled poprečnog presjeka navara sa svim potrebnim veličinama je na sljedećoj slici.
Poprečni presjek zavara sa svim potrebnim veličinama za izračunavanje količine istaljenog metala
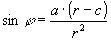
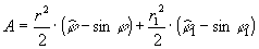
a- širina navara, mm b- dubina navara, mm c- nadvišenje navara, mm r1,r- polumjeri zakrivljenosti, mm l- duljina izvlačenja navara, mm j 1,j - središnji kut, ° ili rad |
Veličine a, b, c i l su izmjerene na uzorcima, a ostale veličine se izračunavaju iz slijedećih jednadžbi:
|
Površina poprečnog presjeka navara računa se iz jednadžbe:
, mm2
Volumen navara:
, mm3
Uz pretpostavku r =7850 kg/m3, količina nataljenog metala računa se po jednadžbi:
, kg
Primjer izračunavanja količine nataljenog metala
U tablici 3 su rezultati provedenog mjerenja.
Na sljedećoj se slici daje prikaz izračunatih količina nataljenog metala.

Količina izračunatog nataljenog metala
Povratak na početnu stranicu - povratak na sadržaj!