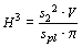
Optimalna visina cilindričnog rezervoara . ( V = const , s = const )


=
; (V
= r2× p ×
H ;
)
Da
bismo dobila optimalna visina rezervoara, računa se prva derivacija volumena po visini i
izjednačava s nulom :
![]()
![]()

![]()
![]()

Povratak na početnu stranicu - povratak na sadržaj!