Primjer 1: Smanjenje mase konzole opterećene na savijanje koncentriranom silom.

Slika 1. Prikaz konzole opterećene na savijanje koncentriranom silom.
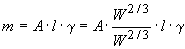
Masa nosača: mnosača =A× l× g (1.1)
Izraz za naprezanje na savijanje:
(1.2)
Preoblikovanjem jednadžbe (1.1) dobiva se slijedeće:
![]()
gdje je : s = s dop ,
naprezanje na savijanje koje ovisi o Rm ili Re materijala , ![]()
Povratak na početnu stranicu - povratak na sadržaj!