3 Troškovi plina

- koeficijent topljenja za TIG postupak

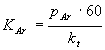
Troškovi plina:

,

Povratak!!

Povratak na početnu stranicu  -   povratak na sadržaj .