Utjecaj pojedinih elemenata na zavarljivost čelika. Ekvivalent ugljika
Čelik je legura željeza (Fe) , ugljika (C do 2% masenog udjela) i ostalih legirajućih elemenata.
Uobičajene su kemijski elementi koji se dodaju čeliku dezoksidanti (Mn, Si, Al) i elementi koje nije mogće izdvojiti iz čelika u masovnoj proizvodnji.
Legirajući elementi su elementi koji se namjerno dodaju u čelik da bi se dobila odgovarajuća struktura i svojstva čelika. To su napr.: Cr, Ni, Mo, V, T, Nb, Cu i drugi.
Nepoželjni elementi
koji se također nalaze u određenom postotku u čeliku O, H i N.Zavarljivost osnovnog materijala često se procjenjuje na osnovu ekvivalenta ugljika.To je osobito važno kod čelika povišene čvrstoće, ali i kod ostalih čelika koji pokazuju sklonost prema zakaljivanju i hladnim pukotinama. Mikrostruktura zavarenog spoja dobije se djelovanjem ugljika i drugih kemijskih elemenata koji čine sastav čelika, uz određeni toplinski input, brzinu hlađenja i druge čimbenike. Ugljik ima značajan utjecaj na strukturu i me
hanička svojstva čelika. Budući da u velikoj mjeri povećava tvrdoću i čvrstoću čelika, ugljik ima odlučujući utjecaj na njegovu zavarljivost. Sa stajališta zavarivanja poželjno je imati što niži sadržaj ugljika u čeliku. U ovisnosti o sadržaju ugljika u čeliku, koristi se odgovarajuća eksperimentalno dobivena formula navedena u sljedećoj tablici.Formule za izračunavanje ekvivalenta ugljika za ocjenu sklonosti čelika prema hladnim
pukotinama i korelacija pojedine metode s pojavljivanjem pukotina.Metoda |
Eksperimentalna formula |
Korelacija sa pojavom pukotina |
|
|
72,2 % |
CE(IIW) |
|
78,1 % |
Graville |
|
82,6 % |
Tanaka |
|
82,8 % |
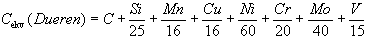
Düren |
|
84,0 % |
Ito-Bessyo |
84,9 % |
|
Stout |
|
86,6 % |
CEN |
![]()
|
91,1 % |
Razvojem novih čelika drugačijeg kemijskog sastava od čelika za koje vrijede postojeće formule, potrebno je modificirati i postojeće formule za izračunavanje ekvivalenta ugljika.
Prema Suzukiju, postoje ograničenja za korištenje pojedinih formula:
· Formula za ekvivalent ugljika po metodi
Ceq (WES) i CE(IIW)
vrijedi za čelike sa sadržajem ugljika C
0,18% ili C
0,20% i
vlačnom čvrstoćom od 400 do 700 MPa.
· Formula za ekvivalent ugljika po metodi
Ito-Bessyo predlaže se za čelike sa sadržajem ugljika
C
0,17%
i vlačnom čvrstoćom od 400 do 900 MPa
· Napomena: Kombinacijom formula po metodi Ito-Bessyo i metodi CE(IIW) proizašla je nova formula po metodi CEN.
U nastavku se daje prikaz utjecaja značajnijih kemijakih elemenata na svojstva čelika.
Element |
Utjecaj |
Ugljik (C) |
Sa povećavanjem sadržaja C povećava se vlačna čvrstoća i granica razvlačenja, smanjuje se udarna žilavost i sposobnost deformiranja. Preko 0,25% C pogoršava se zavarljivost. |
Mangan (Mn) |
Povećavanjem sadržaja Mn povećava se vlačna čvrstoća i tvrdoća, a u manjoj mjeri i granica razvlačenja. Također se smanjuje udarna žilavost. Pri sadržaju Mn iznad 1% povećava se sklonost čelika prema zakaljivanju i zavarivanje je otežano. Smanjenjem sadržaja Mn ispod 0,5% vlačna se čvrstoća znatno smanjuje, ali se udarna žilavost povećava. |
Silicij (Si) |
Sa povećavanjem sadržaja Si povećava se granica razvlačenja i vlačna čvrstoća. Preko 2% Si smanjuje se izduženje. Preko 1,2% Si pogoršava se zavarljivost. |
Krom (Cr) |
Do sadržaja od 5% povećava granicu razvlačenja i vlačnu čvrstoću, a iznad 5% se smanjuju. Uz sadržaj Cr od 4 do 6 % povećava se izduženje, daljnjim povećavanjem do 12% Cr, izduženje se smanjuje. Daljnje povećanje Cr nema značajniji utjecaj na izduženje. Sadržaj Cr iznad 1% smanjuje udarnu žilavost. U granicama od 3 do 12% Cr povećava se otpornost prema oksidaciji na povišenim temperaturama. Preko 12% Cr povećava se otpornost prema koroziji u agresivnim me dijima. Povećava sklonost prema zakaljivanju i pogoršava zavarljivost. |
Nikl (Ni) |
Do 10% Ni povećava se granica razvlačenja i vlačna čvrstoća, a neznatno se smanjuje istezljivost. Preko 1,59 Ni smanjuje se krhkost pri niskim temperaturama. Udarna žilavost na niskim temperaturama naročito se poboljšava ako je sadržaj O, N, S, P, Mn i Si nizak. |
Molidben (Mo) |
Povećavanjem sadržaja Mo iznad 0,2% povećava se granica razvlačenja, vlačna čvrstoća i izduženje. Do sadržaja 2,25% Mo povećava udarnu žilavost, a iznad 2,25% je smanjuje. Poboljšava mehanička svojstva na povišenim temperaturama. Sprečava krhkost i poboljšava korozijsku otpornost. |
Aluminij (Al) |
Male količine Al u čeliku (čak i 0,06%) povećavaju vlačnu čvrstoću, ali smanjuju plastičnost i udarnu žilavost. Povećava sklonost prema pukotinama. Zajedno sa Cr i Si povećava otpornost prema oksidaciji na povišenim temperaturama. |
Vanadij (V) |
Povećavanjem sadržaja V povećava se: vlačna čvrstoća. Udarna žilavost sa sadržajem V iznad 0,5% opada. Povećavanjem sadržaja iznad 0,05% povećava se otpornost prema starenju. Povećava otpornost prema oksidaciji na povišenim temperaturama. Čelici legirani vanadijem su pri zavarivanju osjetljiviji na pukotine i zahtjevaju posebnu tehnologiju zavarivanja. |
Volfram (W) |
Povećava vlačnu čvrstoću, granicu razvlačenja i tvrdoću na sobnoj i povišenoj temperaturi. Iznad sadržaja 0,2% W smanjuje se udarna žilavost. |
Bakar (Cu) |
Povećavanjem sadržaja Cu iznad 0,5% povećava se vlačna čvrstoća i granica razvlačenja. Povećavanje sadržaja Cu iznad 3,9% neznatno povećava izduženje i ubrzano smanjuje udarnu žilavost. Sa sadržajem Cu iznad 0,2% povećava se otpornost prema atmosferskoj koroziji i koroziji u morskoj vodi. |
Titan (Ti) |
Sadržaj Ti do 0,63 efikasno djeluje na povećanje vlačne čvrstoće, ali i smanjenje udarne žilavosti. Poboljšava mehanička svojstva na povišenim temperaturama, ali pogoršava zavarljivost. Zbog afiniteta prema C, koristi se kao stabilizirajući element kod čelika kod kojih se zahtjeva otpornost prema interkristalnoj koroz iji. |
Niobij (Nb) |
Povećava zateznu čvrstoću do sadržaja 1,2%, ali utječe na smanjenje udarne žilavosti. Kao i Ti veže uz sebe C i ne dopušta stvaranje CrC, te time poboljšava otpornost zavarenih spojeva prema koroziji u agresivnim medijima (interkristalnoj koroziji). |
Fosfor (P) |
Povećavanjem sadržaja P smanjuje se udarna žilavost i izduženje, a povećava se krhkost. Ima sklonost prema segregacijama koje se nalaze u čeliku i pri zavarivanju mogu preći u ZT. |
Sumpor (S) |
Sadržaj S iznad 0,04% smanjuje granicu razvlačenja, vlačnu čvrstoću i žilavost. Pogoršava zavarljivost jer ima sklonost segregacijama koje povećavaju sklonost prema nastajanju toplih pukotina. |
Kisik (O) |
Smanjuje vlačnu čvrstoću, granicu razvlačenja i žilavost. Sadržaj ispod 0,002% je potreban za dobru žilavost i nema utjecaj na vlačnu čvrstoću. |
Dušik (N) |
N može uzrokovati starenje čelika, a sa time i smanjenje žilavosti, povećanje krhkosti i tvrdoće. Povećan sadržaj N povećava vlačnu čvrstoću i granicu razvlačenja, ali smanjuje istezanje i udarnu žilavost. Uz prisustvo Al, Nb, V i nekih drugih elemenata pozitivno djeluje na usitnjenje zrna čelika. |
Vodik (H) |
Smanjuje plastičnost i povećava sklonost prema krhkom lomu. U ZT može izazvati poroznost i pukotine u ZUT-u i ZT. |
Povratak na početnu stranicu - povratak na popis pitanja iz Tehnologije zavarivanja !!