Bilanca snage/energije kod elektrolučnog zavarivanja

 

 

tii3.jpg (67679 bytes)

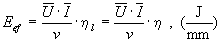
 Efektivna energija za elektrolučno zavarivanje (Eef):

Povratak na početnu stranicu - povratak na popis pitanja!!